728x90
https://www.acmicpc.net/problem/1991
1991번: 트리 순회
첫째 줄에는 이진 트리의 노드의 개수 N(1 ≤ N ≤ 26)이 주어진다. 둘째 줄부터 N개의 줄에 걸쳐 각 노드와 그의 왼쪽 자식 노드, 오른쪽 자식 노드가 주어진다. 노드의 이름은 A부터 차례대로 알파
www.acmicpc.net
| 2 초 | 128 MB | 56436 | 36487 | 28138 | 66.893% |
문제
이진 트리를 입력받아 전위 순회(preorder traversal), 중위 순회(inorder traversal), 후위 순회(postorder traversal)한 결과를 출력하는 프로그램을 작성하시오.

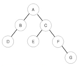
예를 들어 위와 같은 이진 트리가 입력되면,
- 전위 순회한 결과 : ABDCEFG // (루트) (왼쪽 자식) (오른쪽 자식)
- 중위 순회한 결과 : DBAECFG // (왼쪽 자식) (루트) (오른쪽 자식)
- 후위 순회한 결과 : DBEGFCA // (왼쪽 자식) (오른쪽 자식) (루트)
가 된다.
입력
첫째 줄에는 이진 트리의 노드의 개수 N(1 ≤ N ≤ 26)이 주어진다. 둘째 줄부터 N개의 줄에 걸쳐 각 노드와 그의 왼쪽 자식 노드, 오른쪽 자식 노드가 주어진다. 노드의 이름은 A부터 차례대로 알파벳 대문자로 매겨지며, 항상 A가 루트 노드가 된다. 자식 노드가 없는 경우에는 .으로 표현한다.
출력
첫째 줄에 전위 순회, 둘째 줄에 중위 순회, 셋째 줄에 후위 순회한 결과를 출력한다. 각 줄에 N개의 알파벳을 공백 없이 출력하면 된다.

제출 코드
N = int(input())
par = [0] * N
left = [0] * N
right = [0] * N
for i in range(N):
a, b, c = input().split()
par[i] = a
left[i] = b
right[i] = c
# print(par); print(left); print(right)
def preorder(cur):
print(par[cur], end='')
if left[cur] != '.':
preorder(par.index(left[cur]))
if right[cur] != '.':
preorder(par.index(right[cur]))
def inorder(cur):
if left[cur] != '.':
inorder(par.index(left[cur]))
print(par[cur], end='')
if right[cur] != '.':
inorder(par.index(right[cur]))
def postorder(cur):
if left[cur] != '.':
postorder(par.index(left[cur]))
if right[cur] != '.':
postorder(par.index(right[cur]))
print(par[cur], end='')
preorder(0)
print()
inorder(0)
print()
postorder(0)
부모, 왼쪽, 오른쪽 노드에 값을 순서대로 담아주고
각 자식노드가 있는지 확인하고 있다면 부모인덱스의 해당 값으로 들어가서 순회해주는 방식의 코드
알고리즘 정리해야겠다
'알고리즘 > 백준' 카테고리의 다른 글
| [BOJ#7576] 토마토 (1) | 2024.03.24 |
|---|---|
| [BOJ#2583] 영역 구하기 (0) | 2024.03.23 |
| 0319. [BOJ#2805] 나무 자르기 (0) | 2024.03.20 |
| 0318. [BOJ#2667] 단지번호붙이기 (0) | 2024.03.20 |
| 0317. [BOJ#14503] 로봇 청소기 (0) | 2024.03.20 |